水をくむだけの新しい両生類の調査法

ターゲット
公開日

 西川完途 地球環境学堂准教授、坂田雅之 神戸大学学術研究員、源利文 同教授、倉林敦 長浜バイオ大学准教授、いであ株式会社 中村匡聡氏らの研究グループは、両生類(カエル類・イモリ類・サンショウウオ類)の体表の粘液や糞などとともに水中に放出された微量なDNA(環境DNA)を分析可能な増幅してまとめて分析することによって、棲んでいる両生類の種類を判定する技術を開発しました。この技術は捕獲や目視などこれまで調査者の専門的知識や天候・季節などに結果が左右されがちだった従来法に対し、水を汲むだけで誰でもそこにすむ両生類を調べることができる画期的な手法となることが期待されます。

 本研究成果は、2022年2月21日に、国際学術誌「Metabarcoding and Metagenomics」にオンライン掲載されました。

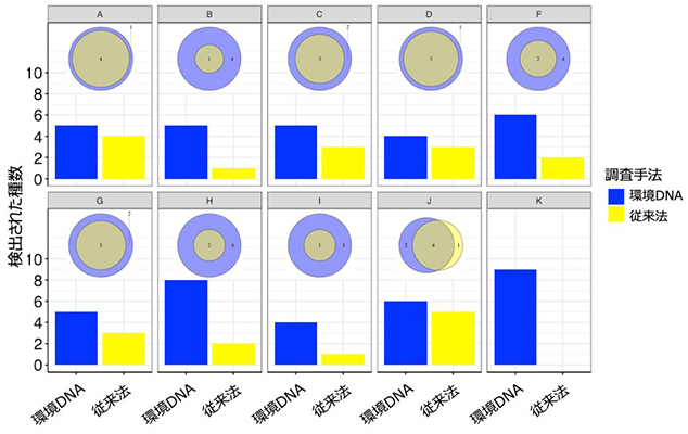
野外調査の結果、どの地域においても検出種数は環境DNA分析の方が通常の調査を上回りました
図:野外調査の結果、どの地域においても検出種数は環境DNA分析の方が通常の調査を上回りました
詳しい研究内容について
研究者情報
書誌情報

【DOI】
https://doi.org/10.3897/mbmg.6.76534

【KURENAIアクセスURL】
http://hdl.handle.net/2433/268026

【書誌情報】
Masayuki K. Sakata, Mone U. Kawata, Atsushi Kurabayashi, Takaki Kurita,
Masatoshi Nakamura, Tomoyasu Shirako, Ryosuke Kakehashi, Kanto
Nishikawa, Mohamad Yazid Hossman, Takashi Nishijima, Junichi Kabamoto,
Masaki Miya, Toshifumi Minamoto (2022). Development and evaluation of
PCR primers for environmental DNA (eDNA) metabarcoding of Amphibia.
Metabarcoding and Metagenomics, 6, 15-26:e76534.