ヘテロナノグラフェン構造を用いた高効率・狭帯域青色発光体の開発に成功 -有機EL材料への実用化を目指す-

ターゲット
公開日

 時任宣博 化学研究所教授(現・理事・副学長)、吾郷友宏 茨城大学准教授、安田琢麿 九州大学教授らの研究グループは、硫黄原子を導入した有機ホウ素化合物を活用することで、優れた発光効率と色純度を併せ持つ有機EL用の青色蛍光体の開発に成功しました。

 今回の成果は、9環縮環ナノグラフェン骨格の適切な位置にホウ素、窒素、硫黄原子を導入することで、発光の狭帯域化と逆項間交差の加速を同時に達成し、青色有機ELの色純度と性能の向上を達成したものです。今後は、開発した青色発光体の有機EL材料への実用化を目指します。

 本研究成果は、2021年7月15日に、国際学術誌「Angewandte Chemie International Edition」のオンライン版に掲載されました。

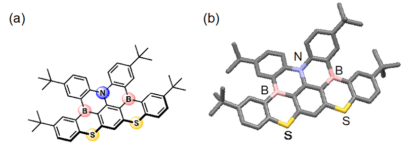
(a)開発したホウ素、窒素、硫黄原子を導入した9環縮環ヘテロナノグラフェン分子BSBS-N1、(b)BSBS-N1の単結晶X線構造解析結果
図:(a)開発したホウ素、窒素、硫黄原子を導入した9環縮環ヘテロナノグラフェン分子BSBS-N1、(b)BSBS-N1の単結晶X線構造解析結果
研究者情報
書誌情報

【DOI】https://doi.org/10.1002/anie.202108283

Masakazu Nagata, Hyukgi Min, Erika Watanabe, Hiroki Fukumoto, Yoshiyuki Mizuhata, Norihiro Tokitoh, Tomohiro Agou, Takuma Yasuda (2021). Fused-Nonacyclic Multi-Resonance Delayed Fluorescence Emitter Based on Ladder-Thiaborin Exhibiting Narrowband Sky-Blue Emission with Accelerated Reverse Intersystem Crossing. Angewandte Chemie International Edition, 60(37), 20280-20285.

関連部局