注目物質「グラフェン」における電子の分配を世界で初観測 -電子の波動性を利用した電子干渉デバイスの実現へ-

ターゲット
公開日

小野輝男 化学研究所教授は、小林研介 大阪大学理学研究科教授、松尾貞茂 東京大学工学系研究科助教、塚越一仁 物質・材料研究機構国際ナノアーキテクトニクス研究拠点主任研究者らの研究グループとの共同研究により、金属と半導体の両方の性質を持つグラフェン中に形成された pn 接合での量子ホール状態における電流ゆらぎを精密に研究し、 pn 接合によって電子が接合の左右に分配される様子(電子分配過程:図左上を参照)を、電流ゆらぎとして初めて観測することに成功しました。また、 pn 接合がない際には、異なる量子ホール状態の接合があった場合でも電子が分配されないことも同時に明らかになりました。

本研究成果は、2015年9月4日(英国時間)に「Nature Communications」のオンライン版に発表されました。

研究者からのコメント

本研究は、量子ホール状態にあるグラフェンにおいて pn 接合が電子分配機構を持つことを初めて直接的に実証しました。この結果は、ギャップのないグラフェンでは実現困難な量子ポイントコンタクトに代わる電子分配機構として pn 接合が利用可能であることを示しており、グラフェンを用いた電子干渉デバイス等の実現につながることが期待されます。また、高移動度のグラフェンでは pn 接合でのキャリアの振る舞いがスピン自由度やバレー自由度に依存することが報告されており、これらの特性の解明と制御へと発展していくことが期待されます。

本研究成果のポイント

  • 金属と半導体の性質を持つグラフェンに形成される pn 接合において、電流ゆらぎ(ショット雑音)を精密に調査
  • 量子ホール状態にある pn 接合において、グラフェンに特有の電子分配過程を初観測
  • グラフェンを用いた電子干渉デバイス等の実現につながることに期待

概要

pn 接合とは、半導体において極性の異なる2種類のキャリア(電子と正孔)からなる領域の間で形成される接合のことであり、ダイオードをはじめとするさまざまな電子デバイスで利用されています。2004年の報告以降、新規半導体材料として期待されているグラフェンは、特異な電子構造に起因する豊富な電子物性とその応用の可能性のため、非常に注目を集めている物質です。これまでの伝導度測定の結果、量子ホール状態にあるグラフェン pn 接合では、量子ホール状態が完全に混じりあう結果、接合の両側への電子の分配過程の存在が推察されていました。しかし、この電子分配過程を直接的に実証した報告はありませんでした。

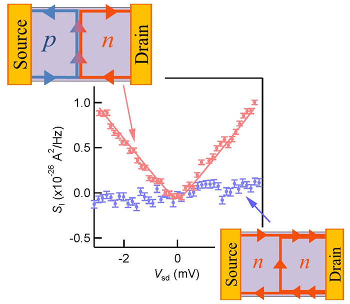
そこで本研究チームは、グラフェン pn 接合における電子の分配の様子の直接観察とその機構の解明のため、電流ゆらぎ(ショット雑音)測定を行いました。さらに本研究では、ゲート電極を組み合わせることにより pn 接合を形成可能なグラフェン試料を作製し、低温強磁場下において高精度な電流ゆらぎ測定を行いました。その結果、図に示すように、量子ホール状態で pn 接合のある場合にはショット雑音が発生するのに対し、 pn 接合のない場合にはショット雑音が発生しないことを明らかにしました。また、観測されたショット雑音の大きさが、理論予想とほぼ一致することも実証しました。これらの結果は、量子ホール状態にある pn 接合が電子を分配するということを世界で初めて直接的に示した成果であり、グラフェン pn 接合で起こる電子分配の微視的特性を初めて定量的に確立した成果です。

図: ショット雑音の測定結果。 pn 接合のある場合(赤いデータ)は電子分配過程があるためショット雑音が生じるが、 pn 接合のない場合(紫のデータ)ではショット雑音が生じない。

詳しい研究内容について

書誌情報

[DOI] http://dx.doi.org/10.1038/ncomms9066

[KURENAIアクセスURL] http://hdl.handle.net/2433/210218

Sadashige Matsuo, Shunpei Takeshita, Takahiro Tanaka, Shu Nakaharai, Kazuhito Tsukagoshi, Takahiro Moriyama, Teruo Ono & Kensuke Kobayashi
"Edge mixing dynamics in graphene p–n junctions in the quantum Hall regime"
Nature Communications 6, Article number: 8066, Published: 04 September 2015