ターゲット
公開日
先日実施しました大学院エネルギー科学研究科修士課程(エネルギー応用科学専攻)令和5年度4月期入学者選抜試験において出題ミスがあることが判明しました。この事実を厳粛に受け止め、再発防止のためにも深く反省して、ここに発表します。
出題ミスが生じた入試方法区分、試験科目
入試方法区分:令和5年度4月期入学 修士課程 エネルギー応用科学専攻 入学者選抜試験(2022年8月23日実施分)
試験科目:材料物理化学基礎
出題ミスの内容
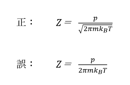
問題1、問(3)の本文中において、以下の誤植がありました。

出題ミス発見の経緯
試験終了後、当該専攻の教員により指摘があり、誤植を確認しました。
採点方法および受験者への周知について
当該誤植によって、問題1、問(3)は正しい解答を導き出せないため、当該小問について全員を正解とする扱いとしました。
なお、この措置により、入学試験の合否結果に影響は生じません。
当該科目を選択した受験者には、出題ミスの内容および採点上の措置に関する内容を合格発表とあわせてWeb掲載し、メールにより通知しました。
今後の対応策
今後、試験問題の作成およびチェック体制の問題点を再度見直し対策を徹底するとともに、出題にかかわっていない教員が入念に点検を行うことにより、再発防止に努めます。
関連部局