2013年12月13日

右から北川拠点長・教授、松田特定准教授
北川進 物質-細胞統合システム拠点(iCeMS=アイセムス)拠点長・教授、松田亮太郎 同特定准教授、佐藤弘志 同助教らの研究グループは、混合ガスの中から一酸化炭素(CO)を高選択的に分離・回収できる多孔性材料の開発に成功しました。
COは一般的には毒性のガスとして知られており、炭素を含む物質が不完全燃焼する際やメタンから水素を取り出すプロセスの際に発生します。一方、産業界においては樹脂等、有用な化成品を得るために必要な非常に重要な原料です。COを含む混合ガスから効率よくCOを分離・回収できれば、これまで利用できなかった排ガスを新たな資源として利用できるだけでなく、二酸化炭素排出量削減につながる可能性があります。
今回の研究では、COを捕捉可能なナノ細孔物質を開発し、混合ガスからCOを効率よく分離し、簡単に回収することに成功しました。またその仕組みを大型放射光施設SPring-8の高輝度放射光を用いて、詳細に検討しました。その結果、今回開発した物質がナノメートルサイズの孔の形・大きさを変えながら、COを効率的に取り込んでいる様子を直接観測することに成功しました。
本成果により、これまで不可能であった工業生産ラインや自動車からの排ガスに含まれるCOの効率的分離による資源化や、シェールガス等から発生したCOガスの精製などを通じて社会に大きなインパクトを与えることが期待されます。
本成果はアメリカ東部時間2013年12月12日に米国科学誌「Science」のオンライン速報版(Science Express)にて公開されました。
背景
環境への負荷を可能な限り低減させる技術の開発は近年、その重要性を増すばかりです。特に、酸素や一酸化炭素、窒素酸化物(NOx)や硫黄酸化物(SOx)などのガス分子を効率よく分離・除去する技術は、産業的な側面や環境問題において重要な課題です。その中でも一酸化炭素(CO)は、私たちの身の回りでは一酸化炭素中毒を引き起こす毒性ガスとして知られています。炭素を含む物質が不完全燃焼する際に生じ、自動車などの乗り物から出る排ガス中にも含まれますが、ほとんどの場合、高価な触媒を用いて二酸化炭素(CO2)へと変換され、大気中に放出されています。これはCO2排出量の観点からも決して望ましい状況ではありません。また、鉄鋼業の製鉄プロセスにおいても莫大な量のCOが副生ガスとして発生しており、CO2へと変換して排出されています。もしも、排ガスに含まれるCOを分離・精製し、化成品材料として転用することができれば、COおよびCO2排出の問題を解決するのみならず、これまで捨てていたものを新たな資源として利用可能となります。これを実現することは、天然資源に乏しい日本において特に重要です。
ガス分子をはじめとする小さな分子を効率よく分離するために、従来用いられてきた材料として、ナノメートルサイズの細孔(ナノ細孔)を有した「多孔性物質」があります。例えば、ゼオライトや活性炭といった多孔性材料は、普段私たちの身の回りでも使われているなじみ深い材料です。しかし、古くから用いられてきたこれらの材料は構造が単純で、分子レベルでの高機能化が困難でした。
一方、最近になって、金属イオンと有機配位子との複合化によって作られる「多孔性金属錯体(PCPまたはMOF)」と呼ばれる新しい物質が開発されました。PCPは、分子レベルで細孔の大きさや形状、化学的性質を精密に設計することができるため、非常に大きな注目を集めています。COを混合ガスから分離する場合、空気や排ガスに大量に含まれる窒素(以下N2)とCOをどのように区別するかが重要です。しかしながら、COとN2はその性質がとてもよく似ており(表1)、一般的な材料では区別することが大変難しいため、新たなメカニズムに基づく分離材料の開発が必要不可欠です。
表1:一酸化炭素と窒素の物理化学的性質
研究内容と成果
本研究では、ナノ細孔の構造を変化させながら、COを効率よく内部に取り込むことのできるPCPの開発に成功し、COと非常によく似た性質(大きさや沸点)をもち、一般的に分離することが困難であるとされているN2との混合ガスからCOを選択的に分離・回収することに成功しました。
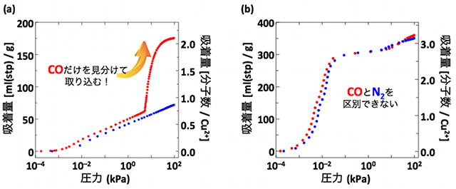
生体内ではヘモグロビンとよばれるタンパク質が効率よく酸素を運搬しています。このタンパク質は、酸素と弱く相互作用する部分をもっています。生体内に酸素を取り込むと、タンパク質全体の形が変わり、低エネルギーで効率よく酸素を取り込んだり放出したりすることを実現しています。本研究グループはこのような仕組みをうまく模倣することで、これまでになかった多孔性材料を実現できるのではないかと考えました。具体的には、COと弱く相互作用する銅イオン(Cu2+)と、有機配位子である5-アジドイソフタル酸(aip)とを反応させ、目的のPCPを合成しました(図1aおよび1b)。このPCPの内部には、1次元のトンネルのような形状をした大きさの異なる2種類のナノ細孔(LとS)があり(図1c)、それらの直径はそれぞれ0.9および0.4ナノメートルであることがわかりました。特に小さなナノ細孔(S)の表面には銅イオンが規則正しく配列されており、COの取り込みに対して効果的に働くことが期待できました。また、興味深いことに、このPCPで特定の種類の分子の出し入れが起こるとナノ細孔のサイズ・形状が変化することを見いだしました。続いて、ナノ細孔へのガス分子の取り込まれやすさを調べる目的で、一般的に区別することが大変難しいCOとN2の吸着等温線測定を行いました。その結果、非常にCOを取り込みやすいことがわかりました(図2a)。これは、過去に報告された物質では全く見られない現象で、今回のPCPが非常に特別なものであることを示しています(図2b)。
図1:今回開発したPCPの構造。(a)金属イオンと有機配位子(b)銅イオン(Cu2+; 緑色)とaipが形成する基本構造(c)全体の構造と1次元ナノ細孔(LおよびS)
図2:(a)今回開発したPCPと(b)類似構造をもつ従来材料のCO(赤)とN2(青)吸着等温線
上述のような違いがどのような原理に基づくかを明らかにするために、COを取り込む前後のPCPの構造決定が必要不可欠でした。本研究グループは、理化学研究所放射光科学総合研究センター量子秩序研究グループの高田昌樹グループディレクターと協力し、大型放射光施設SPring-8の高輝度・高分解能な放射光X線(粉末回折ビームラインBL44B2)を用いて粉末X線回折測定を行い、COを細孔の中に取り込む前後の構造を明らかにすることに成功しました。この実験から、今回のPCPは細孔の形を変えることで効率的にCOを取り込んでいることが分かりました。COを取り込む前には銅イオンが整列したナノ細孔Sは、実は閉じた構造をとっており、CO分子を細孔内部に取り込むことができない状態でした。具体的には銅イオンと有機配位子に含まれる酸素原子が結合することで細孔サイズが小さくなっていました(図3左)。一方、COを取り込んだ後はこの結合が切断され、代わりにCOが銅イオンと結合していることがわかりました(図3右)。これにより孔の大きさが少し大きくなり、銅イオンの上に取り込まれたCOに加えて、ナノ細孔の中央部分にさらにCOが取り込まれていることがわかりました(図4)。N2分子は銅イオンとほとんど相互作用せず、このような構造変化を引き起こすができないために、小さなナノ細孔には取り込まれないと考えられます。
図3:COによって銅イオンの結合様式が変化する様子
図4:ナノ細孔Sに取り込まれた2種類のCOの様子。(a)細孔を上から見た図(b)細孔を横から見た図
続いて、今回開発したPCPがCOを効率的に分離・回収できるかを調べました。具体的には、さまざまな比率で混ざり合ったN2とCOの混合ガス(COの比率:10-80%)をPCPによって吸着(捕捉)させ、回収したガスの中にどのくらいCOが含まれるかを確認しました。すると、どのような比率の混合ガスであっても、非常に高い効率でCOを回収できることがわかりました。図5のグラフは、COの濃度が低い混合ガスを用いても、吸着と回収のステップを複数回繰り返すことで高純度のCOガスが得られることを示しています。また、今回研究グループが開発したPCPはさまざまな従来材料と比べても非常に高い効率でCOを分離できることがわかりました。例えば、今回開発したPCPと同じ銅イオンが含まれる材料であっても、(1)銅イオンとCOが相互作用できないものや(2)構造変化がない材料では高い分離効率は確認されませんでした。本研究グループのPCPでは、COが取り込まれることによって、さらに多くのCOを次々に細孔内部へ呼び込む、まったく新しいメカニズムに基づいています(図6)。本研究グループはこのような新たな現象を、「Self-accelerating sorption process(自己加速的な吸着プロセス)」と呼んでいます。
図5:CO/N2混合ガスを用いたCO濃縮実験の結果
図6:COが自らの取り込みを促進するメカニズム
今後の期待
今回開発した材料を実用化することで排ガスからのCOの効率的分離による資源化や、シェールガス等から水蒸気改質プロセスで発生させたCOガスの精製などを通じて社会に大きなインパクトを与えることが期待されます。
本研究は科学技術振興機構(JST)戦略的創造研究推進事業(ERATO)および日本学術振興会(JSPS)科学研究費助成事業(特別推進研究)によって推進され、京都大学、高輝度光科学研究センター、理化学研究所、東北大学と共同で行われたものです。
書誌情報
[DOI] http://dx.doi.org/10.1126/science.1246423
掲載誌
Science: Published Online December 12 2013
論文タイトル
"Self-Accelerating CO Sorption in a Soft Nanoporous Crystal"
著者
Hiroshi Sato, Wataru Kosaka, Ryotaro Matsuda*, Akihiro Hori, Yuh Hijikata, Rodion V. Belosludov, Shigeyoshi Sakaki, Masaki Takata, Susumu Kitagawa*
*責任著者
- 京都新聞(12月13日 34面)、産経新聞(12月13日夕刊 8面)、日刊工業新聞(12月13日 27面)、毎日新聞(12月13日 6面)、読売新聞(12月14日夕刊 12面)および科学新聞(1月1日 1面)に掲載されました。