磁壁移動の閾電流値を下げる新しい方法の発見:次世代磁壁メモリの実現に前進

磁壁移動の閾電流値を下げる新しい方法の発見:次世代磁壁メモリの実現に前進

2012年9月10日

 小野輝男 化学研究所教授、小林研介 同准教授(現大阪大学教授)、千葉大地 同准教授、Kab-Jin Kim 同研究員、小山知弘 同博士後期課程学生(現カイザースラウテルン工科大学研究員)、上田浩平 博士後期課程学生、吉村瑶子 博士後期課程学生は、仲谷栄伸 電気通信大学教授、水上成美 東北大学准教授、河野浩 大阪大学准教授、深見俊輔氏、石綿延行氏(以上、日本電気株式会社)、Andre Thiaville教授、山田啓介氏、Jean-Pierre Jamet氏、Alexandra Mougin氏(以上、パリ南大学)との共同研究で、強磁性ナノ細線における磁壁移動の閾値を低減する新しい方法を発見しました。磁気記録デバイスの低消費電力化への寄与も期待できる成果であり、応用上の観点からも特筆すべきことです。

 この成果は、英国科学誌Nature Nanotechnology誌に2012年9月10日にオンライン公開されました。

概要

 強磁性体の磁区と磁区の境界を磁壁と呼びます(図1)。磁壁はナノスケールの磁化のねじれ構造で、磁場だけでなくこれを電流によっても移動させることが可能であることを本学の研究グループが2004年に示しました(Phys. Rev. Lett., 92 (2004) 077205)。その後、コバルトとニッケルを積層した強磁性薄膜において、磁壁を移動させるために最低限必要な電流(閾電流)が、磁壁の構造変化を引き起こすために必要なエネルギーによって決まっていることが同グループにより明らかにされました(Nature Mat. 10 (2011) 194)(図2)。この現象を利用した新規メモリ素子がIBMやNECにより提案されており(図3)、半導体メモリを凌駕する大容量性・高速性・低い消費電力を兼ね備えた廉価な不揮発性磁気メモリとして期待されています。そのためには閾電流の低減が一つの大きな課題となってきました。


図1:磁壁の概念図。磁壁内部では磁化がねじれた構造をとっている。電流を流すと磁壁内部の磁化はトルクを受け、磁壁全体が電流と逆方向(伝導電子の流れの向き)に移動する。


図2:磁壁の内部構造(ブロッホ磁壁とネール磁壁)の概念図。磁壁が電流で移動するとき、磁壁の内部構造はブロッホ→ネール→ブロッホ→…と周期的に変化する。閾電流は両者のエネルギー差に依存する。このような磁壁の構造変化は、磁壁が外部磁場により移動する場合にも起こることが知られている。


図3:(左)IBMと(右)NECによって提案された電流による磁壁駆動を用いた不揮発性メモリの概念図。IBMの提案したメモリはレーストラック型メモリと呼ばれ、0と1の情報が書き込まれた磁性細線中の磁壁を電流で駆動して所望のデータを読み出す手法を用いる。NECにより提案されたメモリは中央の磁化方向を電流磁壁駆動によりスイッチさせデータを書き込む。

[参考文献] (IBM):Parkin, S. S. P., Hayashi, M. & Thomas, L. Magnetic domain-wall racetrack memory. Science 320, 190 (2008).
(NEC):Fukami, S. et al. Low-current perpendicular domain wall motion cell for scalable high-speed MRAM. 2009 symposiumon VLSI technology. Digest Tech. 24 Pap. 230 (2009).

 

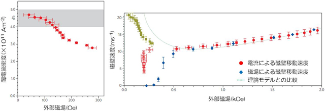
 研究チームは、コバルトとニッケルを積層した強磁性薄膜を150ナノメートルの幅の細線に加工し、細線中の磁壁を電流で駆動する実験を室温で行いました。研究チームは、閾磁場(磁壁を動かすために必要な磁場)程度の大きさの外部磁場を印加することにより、磁場の方向によらず閾電流がほぼ半減することを見出しました (図4)。この結果は、閾電流の起源である磁壁の構造変化(ウォーカー・ブレークダウンと呼ばれる)が外部磁場によって誘起されたため、より低電流で磁壁が移動したと理解されます。また、詳しい実験により、このような状況下における磁壁の移動速度が、電流および磁場による寄与の単純な足し合わせにより得られることを初めて明らかにしました。

 


図4:(左)閾電流密度と外部磁場の関係。この細線の閾磁場は200Oeである。閾電流密度は、磁場を印加しない状態では4.5×1011A/m2であるのに比べて、280Oe印加した状態では2.6×1011A/m2まで低減する。これは、閾磁場以上の磁場を印加したことで磁壁の構造変化(ウォーカー・ブレークダウン)が起こるので電流によりそれを誘起する必要がないため、より低電流で移動できることを示している。(右)閾電流値を印加した状況では、電流と磁場による磁壁移動速度が500Oe以上の広い磁場領域でよい一致を示す。この一致は、磁壁の移動速度が、電流および磁場による寄与の単純な足し合わせにより得られると考えれば説明できる。また、理論モデルと比較することで、スピン分極率やダンピング定数を見積もることもできる。

 

 外部磁場によるウォーカー・ブレークダウンを利用した閾電流の低減はこれまで報告例がなく、本研究成果は閾電流の新しい低減方法を示しており、不揮発性磁気メモリ開発に大きな進展をもたらすと期待されます。また、本研究では磁壁移動速度の加算性を利用してスピン分極率およびダンピング定数といった材料定数を見積もることが可能であることも示されており、これらのスピントロニクスデバイス開発で重要となる量を決定する新たな方法を確立したという点でも特筆すべき成果となっています。

 本研究の一部は、科学研究費補助金基盤研究(S)「新規スピンダイナミクスデバイスの研究」、最先端研究開発支援プログラム「省エネルギー・スピントロニクス論理集積回路の研究開発」、および京都大学化学研究所共同利用・共同研究課題によって支援されました。

書誌情報

[DOI] http://dx.doi.org/10.1038/nnano.2012.151

T. Koyama, K. Ueda, K.-J. Kim, Y. Yoshimura, D. Chiba, K. Yamada, J.-P.Jamet, A. Mougin, A. Thiaville, S. Mizukami, S. Fukami, N.Ishiwata, Y.Nakatani, H. Kohno, K. Kobayashi & T. Ono Current-induced magnetic domain wall motion below intrinsic threshold triggered by Walker breakdown. Nature Nanotechnology, 2012/09/09/online doi: 10.1038/nnano.2012.151